Множества
Алгоритм решения задач на пересечение множеств
Нужна консультация
Памятка
Совет по решению логических задач с помощью таблиц
Арифметические задачи «на сообразительность»
Арифметические задачи решаются чисто арифметическими средствами, не прибегая к составлению уравнений и использованию буквенной символики.
Решение любых арифметических задач, если только они не слишком просты или трафаретны, всегда требует догадки, смекалки, умения вдумываться и находить «свой путь» к решению каждой отдельной задачи. В этом их трудность, но в этом и их неоспоримая польза для развития мышления. Такие задачи любители математики называют задачами «на сообразительность», но правильнее было бы называть их логическими задачами.
Как же решаются задачи «на сообразительность»? Ты уже знаешь один из способов - «с помощью рассуждений».
Решая задачу: «В коробке лежат 15 шариков: чёрных, белых и красных. Красных шариков в 7 раз меньше, чем белых. Сколько в коробке чёрных шариков?», ты будешь рассуждать: «Нельзя допустить, что красных шариков больше одного, так как уже при предположении, что красных 2 шарика, белых будет 2•7=14 и общее количество шаров окажется больше 15. Значит, в коробке только один красный шарик, а белых и чёрных по 7» .

Задачи, оцениваемые в 3 балла
1. У щенят и утят 42 ноги и 12 голов. Сколько щенят и сколько утят?
2. Ребята заметили, что участок ветки в 15 см гусеница проползает за 7 мин. Найди длину гусеницы, если скорость
её движения 3см/мин.
3. Сколько времени потребуется человеку, чтобы сосчитать миллиард зёрен, если он в минуту будет считать по 100 зёрен?
Задачи, оцениваемые в 4балла
4. У мальчика было 14 монет достоинством в 3 копейки и 5 копеек. Когда он сосчитал свои деньги, то насчитал 57 копеек. Не ошибся ли он?
5. У мальчика столько же сестёр, сколько и братьев. А у сестры его братьев в 2 раза больше, чем сестёр. Сколько в этой семье братьев и сколько сестёр?
6. В пяти ящиках лежит по одинаковому числу яблок. Если из каждого ящика вынуть по 60 яблок, то во всех ящиках вместе останется столько яблок, сколько раньше было в двух ящиках. Сколько яблок первоначально было в каждом ящике?
Задачи, оцениваемые в 5 баллов
7. Я отпил 1/6 часть стакана чёрного кофе и долил его молоком. Затем я выпил 1/3 часть стакана и снова его долил молоком. Потом я выпил полстакана и опять долил молоком. Наконец я выпил полный стакан. Чего больше выпито: кофе или молока?
8. (Старинная задача) 12 человек несут 12 хлебов. Каждый мужчина несёт по 2 хлеба, женщина – по ½ хлеба, ребёнок - по ¼ хлеба. Сколько было мужчин, женщин, детей?
9. Утром в магазин привели 6 бидонов молока, в которых было 15,16,18,19,20 и 31 л молока. До обеденного перерыва было полностью продано молоко из трёх бидонов, а к закрытию магазина продали целиком молоко ещё из двух бидонов. Оказалось, что утром молока было продано вдвое больше, чем после обеда. Указать, из каких бидонов было продано молоко до обеденного перерыва.
При решении логических задач часто бывает трудно запомнить многочисленные условия, данные в задаче, и установить связь между ними. Решать такие задачи помогают графы, которые дают возможность наглядно представить отношения между данными задачи.
Рассмотрим применение графов при решении конкретных задач.
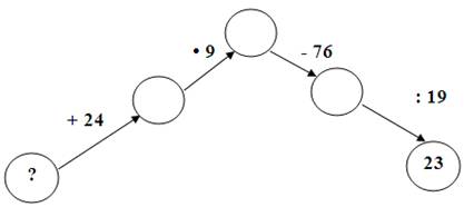
Я задумал число. Если к нему прибавить 24, потом полученную сумму умножить на 9, затем из произведения вычесть 76, и полученную разность разделить на 19, то получится число 23. Найди задуманное число.
Начертим граф по условию задачи:
Теперь сразу видно, что решать эту задачу следует с конца, заменяя данное действие на обратное ему. Получаем, 23• 19 =437; 437 +76 = 513; 513: 9 =57; 57 – 24 = 33. Итак, задуманное число 33.
В бутылке, стакане, кувшине и банке, находится молоко, лимонад, квас и вода. Известно, что вода и молоко не в бутылке, сосуд с лимонадом стоит между кувшином и сосудом с квасом, в банке не лимонад и не вода. Стакан стоит около банки и сосуда с молоком. Куда налита каждая жидкость?
Обозначим кружочками Б , С, К, Бн сосуды, а кружочками м, л, к, в – жидкости.
По условию задачи отметим штриховыми линиями несоответствия: Б (бутылке) не соответствует в (вода) и м (молоко); К (кувшин) не соответствует л (лимонаду) и к (квасу) и т.д.

Теперь видно, что м соответствует К, а БН соответствует к, отметим это сплошной линией. Значит, К не соответствует в, отметим это штриховой линией. Тогда Б не соответствует к, но соответствует л и т.д.
Ответ: в бутылке – лимонад; в стакане – вода; в кувшине – молоко; в банке – квас.
Несколько мальчиков встретились на вокзале, чтобы поехать за город в лес. При встрече все они поздоровались друг с другом за руку. Сколько мальчиков поехало за город, если всего было 10 рукопожатий?
Договоримся, что точки обозначают мальчиков, отрезки – рукопожатия.
Отметим сначала две точки А и B, соединим их отрезком. Добавим ещё точку С и соединим её с точками А и B отрезками. Получили три отрезка (пожатия). Добавим ещё точку D, соединим её с другими точками. Теперь у
уже шесть отрезков. Отметим пятую точку Е и соединим её со всеми точками, отмеченными ранее. Получилось10 отрезков. Значит, на вокзале встретились 5 мальчиков.

Задача 10 (3балла)
Для Вани, Толи и Миши есть три пирога: с рисом, капустой и яблоками. Миша не любит пирог с яблоками и не ест с капустой. Ваня не любит пирог с капустой. Кто что ест?
Задача 11 (4балла)
Беседуют трое друзей: Белокуров, Чернов и Рыжов. Брюнет сказал Белокурову: «Любопытно, что один из нас блондин, другой брюнет, а третий рыжий, но, ни у одного цвет волос не соответствует фамилии». Какой цвет волос имеет каждый их друзей?
Задача 12 (5 баллов)
На карточках, которые расположены в верхнем ряду (см рисунок) и перевёрнуты обратной стороной, изображены те же рисунки, что на карточках, находящихся в нижнем ряду. Только порядок их расположения другой. В каком порядке расположены карточки верхнего ряда, если известно:
а) плюс не рядом с треугольником, треугольник не рядом с кругом;
б) круг не рядом со звездой, а звезда не рядом с плюсом;
в) треугольник не рядом с квадратом, а квадрат не рядом с кругом;
г) звезда расположена рядом с квадратом и находится справа от него?
Творческая мастерская «Придумай сам»
Придумай задания по теме «Арифметические задачи на сообразительность»
Внимание!Не забудь разместить эти задания на форуме «Математическая копилка».
Заполни Лист "Мои достижения" и выбери модель, которая соответствует самооценке твоего уровня знаний и умений по теме «Числовые великаны и числовые карлики»

Вот ты и закончил ещё один раздел курса. На занятиях следующего раздела «Мои достижения» тебе предстоит показать, чему ты научился, что ты знаешь.
Лучшей демонстрацией знаний станет математическая олимпиада, на которую ты приглашаешься уже в следующий день занятий. Подготовься к олимпиаде! Вспомни, какие задания ты выполнял, изучи Советы участникам олимпиады прочитай полезные советы, посмотри материалы рубрики В помощь участнику олимпиады.