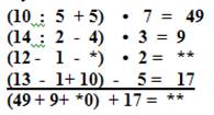
В помощь ученику! >> Алгоритм восстановления записи

Алгоритм восстановления записи (решение  ребуса)
1. Используем дополнительное условие: сумма чисел первого столбца равна результату действий в первой строке. (Отсюда все числа первого столбца должны начинаться с 1).
2. Определяем значение первого числа первого столбца (Оно должно делиться без остатка на 5, значит – это либо 10, либо 15. Число 15 не подходит, так  как сумма чисел первого столбца должна быть меньше 50).
3. Определяем, каким должен быть результат первой строки  (Он должен быть не менее 47,значит  ответ первой строки - 49).
4. Расшифруем первую строку и первый столбец, сделаем запись с учётом восстановленных цифр 

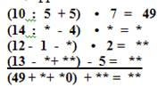
5. Восстановим запись второй строки.  (Число14 без остатка делится на 2 и 7.  Число 7 не подходит. Значит,  14:2 -4 = 3. Произведение – однозначное число, значит,  мы можем только 3  умножить  на 1, 2 или 3. Числа 1 и 2 не подходят, так как сумма чисел второго столбца  больше 6. Результат второй строки - 9 ).
6. Восстановим запись второго столбца.  (5 + 2 +1 +1 = 9)
7. Восстановим запись четвёртого столбца и четвёртой строки .  (7 + 3 +2 +5= 17. Получаем, (13 – 1 + **)- 5 = 17, отсюда неизвестное число - 10).
8. Сделаем запись с учётом восстановленных цифр 


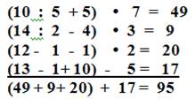
9. . Восстановим запись третьего  столбца и третьей строки. (Сумма чисел третьего  столбца оканчивается 0, значит,  искомое число  в третьей строке третьего столбца – 1, так как 5+4+10+1 =20. А число 20 – сумма чисел третьего столбца).

10. Запишем восстановленный пример: